বাংলাদেশ সম্পর্কিত
আর্ন্তজাতিক সম্পর্কিত
বাংলা সাহিত্য সম্পর্কিত
ভূগোল সম্পর্কিত
সাধারন বিজ্ঞান সম্পর্কিত
গাণিতিক সম্পর্কিত
বিসিএস প্রশ্ন ব্যাংক
আমাদের সম্পর্কে
গোপণীয়তা
Job Study
_BCS and Bank Related
_Primary Jod Related
_Bangladesh Related
_International Related
questin bank
_BCS Question Bank
_Bank Question
_Other Examaination
Job news
_Government Job News
_Non Government Job
_Private Jobs
book's
_BCs Written Book's
_Bank Job Book's
_NCTB Book's
Writter's
_Famous Men
_Famous Women
_Famous work's
Famous people
_Famous Men
_Famous Women
_Autobiography
Science
_Invention of Men
_Invention of Women
_Famous Invention
Game
_Football
_Cricket
_Olympic
_other's
life style
_Celebraty Men
_Celebraty Women
_Celebraty Footballer's
_Celebraty Cricketer's
Breaking News
Home
/
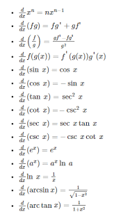
Differential Of Calculas (ডিফারেনশিয়াল ক্যালকুলাস) সুত্র
/
ডিফারেনশিয়াল ক্যালকুলাস সুত্রঃ
ডিফারেনশিয়াল ক্যালকুলাস সুত্রঃ
June 20, 2023
Differential Of Calculas (ডিফারেনশিয়াল ক্যালকুলাস) সুত্র
ডিফারেনশিয়াল ক্যালকুলাস সুত্রঃ
Reviewed by
Tech Master
on
June 20, 2023
Rating:
5
No comments
Subscribe to:
Post Comments ( Atom )
Popular Posts
Dakhil, Alim, Fazil and Kamil level public examinations and educational institutions.
BCS Preparation: All MP3 Books Pdf Download
Chittagong Education Board
ইন্টারভিউ বোর্ডের মধ্যে প্রায়শই জিজ্ঞাসা করা হয় যেসকল প্রশ্ন:
Barisal Education Board
All Govt Bank Previous Question pdf
No comments